Home / Mumerical Methods / Density Matrix Renormalization Group

Density Matrix Renormalization Group

DMRG

The graphical representation of the algorithm for finding the ground state in the DMRG process is shown for a system of length $L=8$ with open boundary conditions. (a-d) Show the creation of an arbitrary MPS using an infinite DMRG process. (e-l) Show one complete sweep of finite size algorithm of variational search. If we repeat (e-l) several times, the initial state (d) converges to the ground state of the Hamiltonian.

The Density Matrix renormalization group (DMRG) method is the prescription to prevent the exponential growth of the Hilbert space while providing accurate results for low dimensional systems. Steve White proposed the method in 1992 as an improvement over the numerical renormalization group (NRG). The method finds the ground state of the system by variational approximation through local optimization. As a further development, the DMRG method was then applied to MPSs that increased the flexibility and power of the DMRG method by manyfold. The key idea here is to minimize the bond dimension ($a_i$) of the MPS by eliminating a part of the singular value spectrum that is negligible in weight. For example, in the low entangled states like the gapped state, the singular values ($\lambda_k$) decrease exponentially with its spectral position ($k$), \begin{equation} \lambda_k \propto e^{-\alpha k}, ~~~ \alpha > 0. \end{equation}
In a variational process of ground state search, the aim is to minimize the energy functional defined by,
\begin{equation} E_g = \frac{\langle \Psi_g | H | \Psi_g \rangle}{\langle \Psi_g | \Psi_g \rangle} \leq \frac{\langle \Psi| H |\Psi \rangle}{\langle \Psi| \Psi \rangle} \end{equation}
However, in the MPS description, this is a high dimensional non-linear problem to solve. In this case, the local update using the DMRG sweep helps to optimize the local tensors. In a so-called two site DMRG process we write the Hamiltonian in the following form \begin{equation} H = \sum_k H^k_L \otimes H^k_{i,j} \otimes H^k_R. \end{equation} Here, the Hamiltonian is divided into the left and the right part which are called the system parts. In this case, the local minimization becomes an eigenvalue problem
\begin{equation}\label{eq:mps_eig} \tilde{H}^{a'\sigma_i'\sigma_j'b'}_{a\sigma_i\sigma_jb} X_{a'\sigma_i'\sigma_j'b'} = E X_{a'\sigma_i'\sigma_j'b'} \end{equation}
where
\begin{equation} \tilde{H}^{a'\sigma_i'\sigma_j'b'}_{a\sigma_i\sigma_jb} = \sum_k (\tilde{H}_R^k)_a^{a'} (\tilde{H}_L^k)_b^{b'} (H_{i,j}^k)_{\sigma_i\sigma_j}^{\sigma_i'\sigma_j'} \end{equation}
Here $\tilde{H}_R^k$ and $\tilde{H}_L^k$ may be obtained from the previous step and $X_{a'\sigma_i'\sigma_j'b'}$ describes the local wavefunction. The eigenvalue problem shown in Eq. \ref{eq:mps_eig} can be solved using the Lanczos algorithm. Using an initial guess that can be extracted from the previous iteration, the process can be made faster, especially when it is close to the convergence. As a next step, the updated MPS is computed from $X_{a\sigma_i\sigma_jb}$ after truncating it to the desired bond dimension in the SVD process.
To get the ground state of a Hamiltonian, the algorithm starts with an arbitrary MPS formed by an infinite DMRG process with a given bond dimension. A graphical representation is shown in figure (a-d) above for convenience. The dotted line shows the connection between the left and the right parts of the system, and the tensors with the empty circles are the resulting tensor we create in that step. The variational optimization of the local tensor is done by sweeping from left to right and vice-versa through the system length. This process is recognized as the finite size DMRG process. A two-site DMRG sweeping process is graphically presented in figure (e-l) above for one complete sweep. Here also the dashed line connects the two parts of the system and the local tensors marked with open circles are optimized in the process mentioned above in that step.
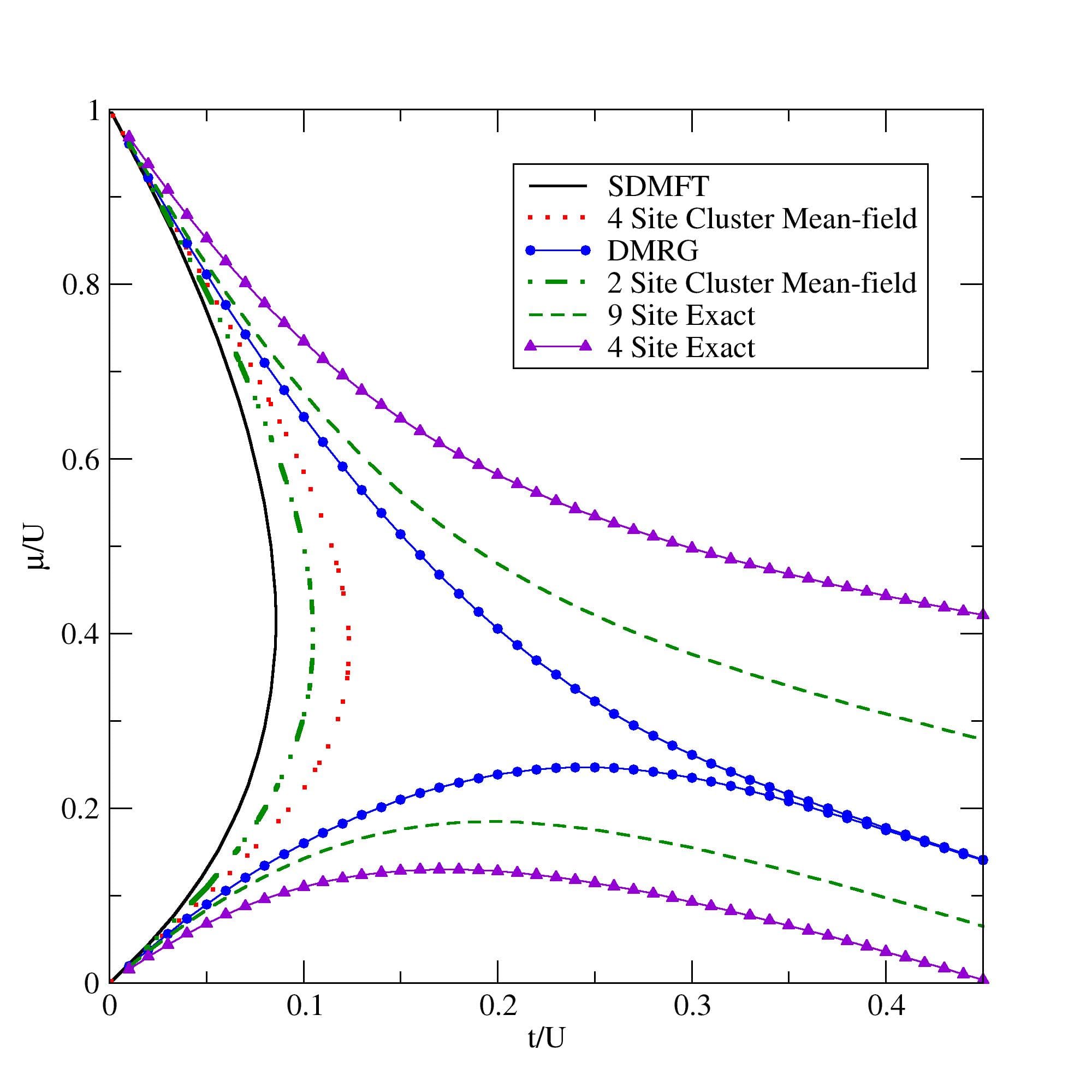
There are different sources of error in this process of finding the eigenstates. Most important of them is the truncation error, \begin{equation} p = \sum_{a=M+1}^D S^2_\alpha = 1 - \sum_{\alpha = 1}^{M} S_{\alpha}^2. \end{equation} which arises due to the discarded part of the singular value spectrum during the DMRG process. It has been shown that the error in the ground-state energy is proportional to $p$. Other than the truncation error, there are two more sources of error. One arises from the iterative process of the numerical diagonalization and the other from the lack of convergence within the class of the MPS states. In general, it can be utilized for systems with periodic boundary conditions, infinite systems and two-dimensional lattices. In this chapter, we have implemented the DMRG method for one-dimensional open boundary systems where it works the best. To compare the DMRG method with other methods, mean-field (SDMFT in the figure), CMFT and ED, I have shown the first Mott lobe of the one-dimensional Bose Hubbard model (the model is presented in the ED chapter) in the figure below. Note that, I have considered three-body constraint for this calculation and the DMRG result is extrapolated to $L=\infty$.
DMRG

A comparison of different methods. The first Mott lobe of the one-dimensional Bose Hubbard model is shown. Three body constraint is considered to get the results. The legends: SDMFT = site-decoupled mean-field theory, Exact= Eexact diagonalization, DMRG= density matrix renormalization group.

Related references

  1. Ulrich Schollwöck, The density-matrix renormalization group in the age of matrix product states, Annals of Physics 326, 96 (2012).
  2. G. De Chiara, M. Rizzi, D. Rossini, S. Montangero, Density Matrix Renormalization Group for Dummies, arXiv:cond-mat/0603842 (2006).
  3. H. Fehske, R. Schneider and A. Weiße (Eds.), Computational Many-Particle Physics, Lect. Notes Phys. 739 (2008).
  4. www.tensors.net
  5. Pioneer: Steven R. White, Density matrix formulation for quantum renormalization groups, Phys. Rev. Lett. 69, 2863 (1992).

Free resources

  1. ITensors: High-Performance Tensor Software Inspired By Tensor Diagrams, developed by Steve White, Miles Stoudenmire, et al.
  2. TeNPy: Tensor Network Python, developed by the group of Frank Pollmann.

Explore other numerical methods

← Back to Numerical Methods